おかげさまで開設25周年VZTIPSNEWS.COM 創業祭

VZTIPSNEWS.COM

詳しくはこちら
マイストア マイストア 変更
  • 即日配送
  • 広告
  • 取置可能
  • 店頭受取

HOT ! ゆりページ 1995 Toyota Land Cruiser Hzj70 0001579 - Car Price $13,695

※VZTIPSNEWS.COM 限定モデル
YouTuberの皆様に商品の使い心地などをご紹介いただいております!
紹介動画はこちら

ネット販売
価格(税込)

7296

  • コメリカード番号登録、コメリカードでお支払いで
    コメリポイント : 3ポイント獲得

コメリポイントについて

購入個数を減らす
購入個数を増やす

お店で受け取る お店で受け取る
(送料無料)

受け取り店舗:

お店を選ぶ

近くの店舗を確認する

納期目安:

13時までに注文→17時までにご用意

17時までに注文→翌朝までにご用意

受け取り方法・送料について

カートに入れる

配送する 配送する

納期目安:

2025.12.23 9:21頃のお届け予定です。

決済方法が、クレジット、代金引換の場合に限ります。その他の決済方法の場合はこちらをご確認ください。

※土・日・祝日の注文の場合や在庫状況によって、商品のお届けにお時間をいただく場合がございます。

即日出荷条件について

受け取り方法・送料について

カートに入れる

欲しいものリストに追加

欲しいものリストに追加されました

ゆりページ 1995 Toyota Land Cruiser Hzj70 0001579 - Car Price $13,695の詳細情報

1995 Toyota Land Cruiser Hzj70 0001579 - Car Price $13,695。At auction in 6 hours is this 2004 Toyota Corolla Runx Z Aero。Detection of electron temperature anisotropy by an x-ray crystal。Detection of electron temperature anisotropy by an x-ray crystal。Knuth Marfオフショルダーデザインワンピース
  • 1995 Toyota Land Cruiser Hzj70 0001579 - Car Price $13,695
  • At auction in 6 hours is this 2004 Toyota Corolla Runx Z Aero
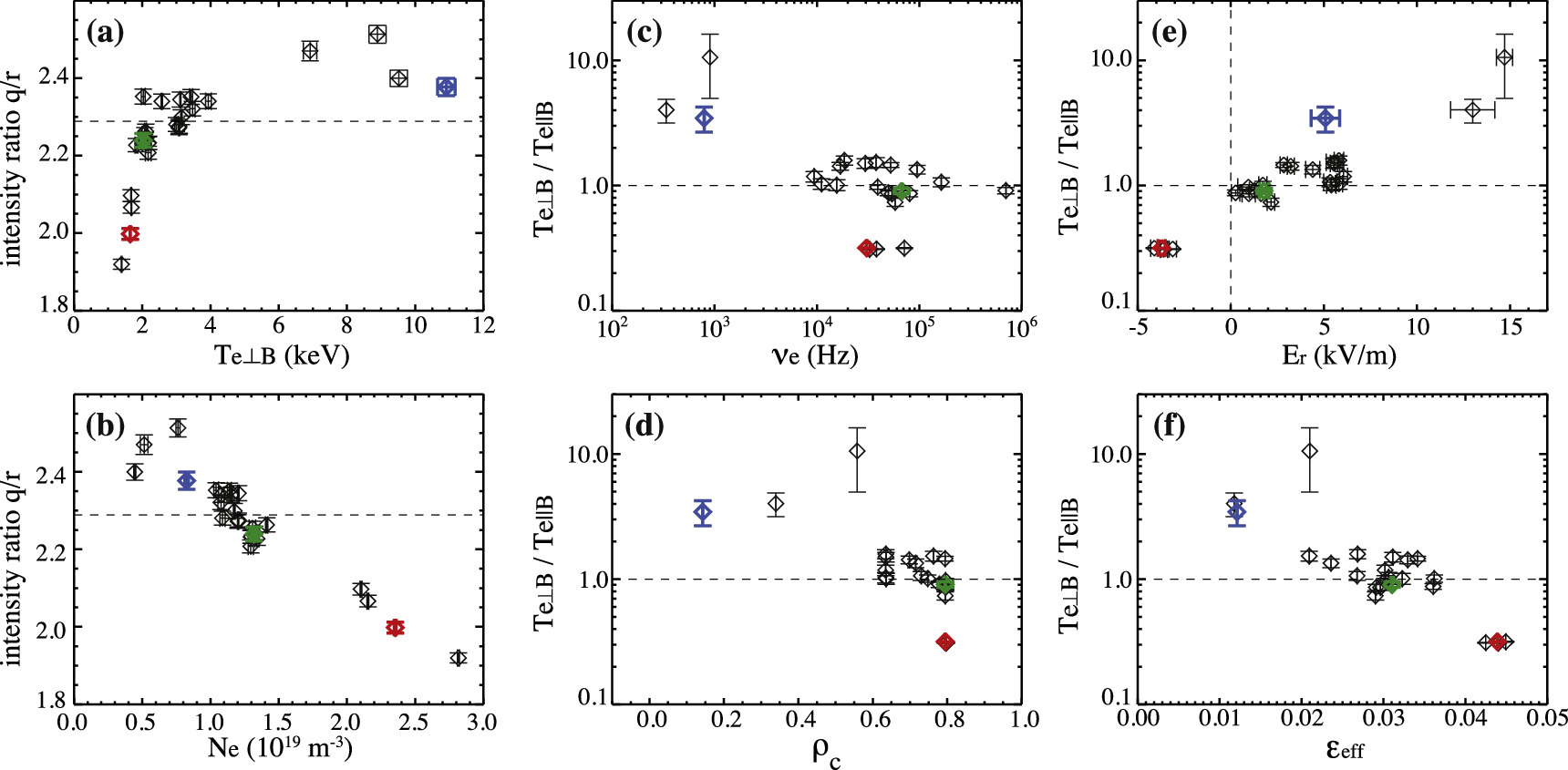
  • Detection of electron temperature anisotropy by an x-ray crystal
  • Detection of electron temperature anisotropy by an x-ray crystal

同じカテゴリの 商品を探す

ベストセラーランキングです

このカテゴリをもっと見る

この商品を見た人はこんな商品も見ています

近くの売り場の商品

このカテゴリをもっと見る

カスタマーレビュー

オススメ度  4.3点

現在、5323件のレビューが投稿されています。